Ergebnisse aus der Forschung I/2018

Zu Projekten des Instituts für Arbeitsschutz der DGUV (IFA) liegen neue Veröffentlichungen, Zeitschriftenaufsätze oder Broschüren vor. Sonderdrucke von Veröffentlichungen können kostenlos angefordert werden oder stehen als PDF-Dateien zum Herunterladen bereit. Weitere Forschungsprojekte des IFA sind online verfügbar.

Bild aus dem Artikel

Bild vergrößern

Nano- und Mikrofasern unter dem Rasterelektronenmikroskop (REM)
Bild: IFA

Messung faserförmiger Nanomaterialien

Um die Exposition gegenüber nano- und mikroskaligen faserförmigen Materialien am Arbeitsplatz zu bestimmen, ist ein neues Messverfahren notwendig. Zwei Artikel in der Fachzeitschrift "Gefahrstoffe - Reinhaltung der Luft" beschreiben, wie weit Forschende der Bundesanstalt für Arbeitsschutz und Arbeitsmedizin, der schweizerischen Suva und des IFA in der Verfahrensentwicklung fortgeschritten sind.


Foto des beschriebenen Tablet-Rahmens

Bild vergrößern

Funktionsmuster ders IFA-Tablet-Rahmens
Bild: IFA

Maschinensteuerung via Smartphone

In vielen Bereichen sind Tablets und Smartphones aus dem Arbeitsalltag nicht mehr wegzudenken. Welche Vorteile der Einsatz mobiler Endgeräte und entsprechender Apps für die Steuerung von Maschinen und Geräten hat, beschreibt ein Artikel des IFA. Er ist in der Zeitschrift "sicher ist sicher" erschienen.

Zum Artikel (PDF, 611 kB, nicht barrierefrei)


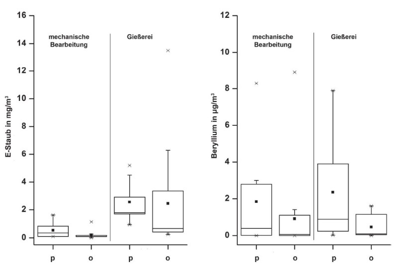
Zwei Diagramme aus dem Artikel

Bild vergrößern

Boxplots der Luftmesswerte für Beryllium und E-Staub.
Bild: IFA

Berufliche Berylliumbelastung bewerten

In einem Artikel in der Fachzeitschrift "Gefahrstoffe - Reinhaltung der Luft" vergleichen Fachleute des IFA die Aussagekraft von Beryllium-Luftmessungen einerseits und einem Biomonitoring, also der Bestimmung von Beryllium und seinen Stoffwechselprodukte im menschlichen Körper, andererseits. Die Studie zeigt, dass die Bewertung der Exposition an Berylliumarbeitsplätzen eine Herausforderung darstellt und dass die alleinige Berücksichtigung von Luftmessungen für eine valide Einschätzung nicht ausreichend ist.

Zum Artikel (PDF, 1,3 MB, nicht barrierefrei)


Gerät zur Farbmessung

Colorimeter auf Filterhaltung
Bild: IFA

Metalloxid-Nanopartikel im Ringversuch

Ringversuche sind ein beliebtes Mittel, um die Qualität der eigenen Messergebnisse zu überprüfen. Für Ringversuche zur Messung von Metalloxid-Nanopartikeln hat das IFA in Kooperation mit mehreren Partnern eine Methode entwickelt, um Filter reproduzierbar mit diesen Stäuben zu belegen. Zwei Artikel in der Zeitschrift "Gefahrstoffe - Reinhaltung der Luft" beschreiben das neue Verfahren zur Filterbelegung sowie den qualitätssichernden Nutzen von Ringversuchen am Beispiel des Versuchs zur Bestimmung von Aldehyden.

Zum Artikel über den Ringversuch zur Bestimmung von Aldehyden (PDF, 1,0 MB, nicht barrierefrei)

Zum Artikel über Filterbelegung für Ringversuche zur Messung von Metalloxid-Nanopartikeln (PDF, 1,3 MB, nicht barrierefrei)


Screenshot des Programms

Bild vergrößern

Schnellansicht ZED
Bild: IFA

Die Zentrale Expositionsdatenbank (ZED)

Die Gefahrstoffverordnung enthält seit 2005 die Verpflichtung, dass der Arbeitgeber ein Verzeichnis über Beschäftigte zu führen hat, die durch krebserzeugende oder keimzellmutagene Stoffe gefährdet sind. Wie die Zentrale Expositionsdatenbank der DGUV (ZED) Unternehmen dabei hilft, beschreibt ein Artikel des Institutes für Arbeitsschutz der DGUV (IFA) in der Zeitschrift "sicher ist sicher".

Zum Artikel (PDF, 742 kB, nicht barrierefrei)


Überschrift und Zusammenfassung

Anfang des Artikels
Bild: IFA

Metallhaltige Stäube: Vergleich von Aufschlussverfahren

Metallhaltige Stäube in der Luft an Arbeitsplätzen müssen überwacht und beurteilt werden können. Dafür haben Fachleute des IFA ein neues Verfahren entwickelt und mit bestehenden Methoden verglichen. Die Ergebnisse beschreibt ein Artikel in der Zeitschrift "Gefahrstoffe - Reinhaltung der Luft".

Zum Artikel (PDF, 406 kB, nicht barrierefrei)


Feuerwehrleute in Schutzausrüstung bei einer Übung

Feuerwehrleute mit PSA
Bild: DGUV

Eine neue Veröffentlichung des IFA berichtet über aktuelle Rechtsänderungen für Persönliche Schutzausrüstungen (PSA). Diese folgen aus der neuen PSA-Verordnung der Europäischen Union. Der Beitrag in der Zeitschrift "Sicherheitsingenieur" gibt einen Überblick über den derzeitigen Stand sowie einen Ausblick.

Zum Artikel (PDF, 316 kB, nicht barrierefrei)


Screenshot der IFA-Software

Bild vergrößern

Online-Rechner zur Bestimmung des AGW von Kohlenwasserstoffgemischen
Bild: IFA

Die Arbeitsplatzgrenzwerte zur Beurteilung der Konzentrationen von Lösemittelkohlenwasserstoffen wurden vom deutschen Ausschuss für Gefahrstoffe überarbeitet. Dies hat Auswirkungen für Liefer- und Anwenderbetriebe. Aktualisierte Praxishilfen des IFA und die Vorgehensweise bei deren Anwendung werden in der Zeitschrift "Gefahrstoffe - Reinhaltung der Luft" vorgestellt.

Zum Artikel (PDF, 277 kB, nicht barrierefrei)

Weitere Informationen zu Arbeitplatzgrenzwerten für Kohlenwasserstoffgemische

Online-Rechner


Frau bedient Emissionsspektrometer

Bild vergrößern

Untersuchung einer Probe auf Metall
Bild: IFA

An vielen Arbeitsplätzen im industriellen Bereich können metallhaltige Stäube auftreten. Zur Gefährdungsbeurteilung kann es erforderlich sein, den Metallgehalt in den Stäuben zu messen. Ein Beitrag in der Zeitschrift "Gefahrstoffe – Reinhaltung der Luft" beschreibt ein im IFA entwickeltes neues Verfahren, das man bei der Ermittlung niedriger Metallgehalte in Staubproben vom Arbeitsplatz anwenden kann.

Zum Artikel (PDF, 142 kB, nicht barrierefrei)


Holzpellets auf einem Haufen

Bild: Fotolia: contrastwerkstatt

Die Auswertung des Forschungsprojekts FB 181 "Durch UV-Strahlung induzierte bösartige Hauttumore", an dem sich unter anderem das IFA und das Institut für Prävention und Arbeitsmedizin der Deutschen Gesetzlichen Unfallversicherung (IPA) beteiligten, liefert neue Diskussionsansätze zur Rolle der beruflichen und nichtberuflichen UV-Exposition bei der Entstehung von nichtmelanozytärem Hautkrebs.

Zum Download des Artikels (PDF, 390 kB, nicht barrierefrei)